FRASS DI INSETTO E CHITINA
Il frass di insetto ha una composizione molto ricca e variegata di numerosi elementi e altrettante molecole: tra queste molecole ritroviamo la chitina (polimero di N-acetilglucosammina), un polisaccaride costituente fondamentale degli esoscheletri degli insetti, dove può rappresentare il 25-40% del loro peso secco (N.B. in seguito alla muta l’insetto abbandona parte del vecchio
esoscheletro, che prenderà il nome di ‘’esuvia’’).
Infatti, nel frass di insetti vi è la presenza di esuvie che nel suolo rappresentano un’importante fonte di chitina e di chitosano (la forma deacetilata della chitina che risulta più solubile).
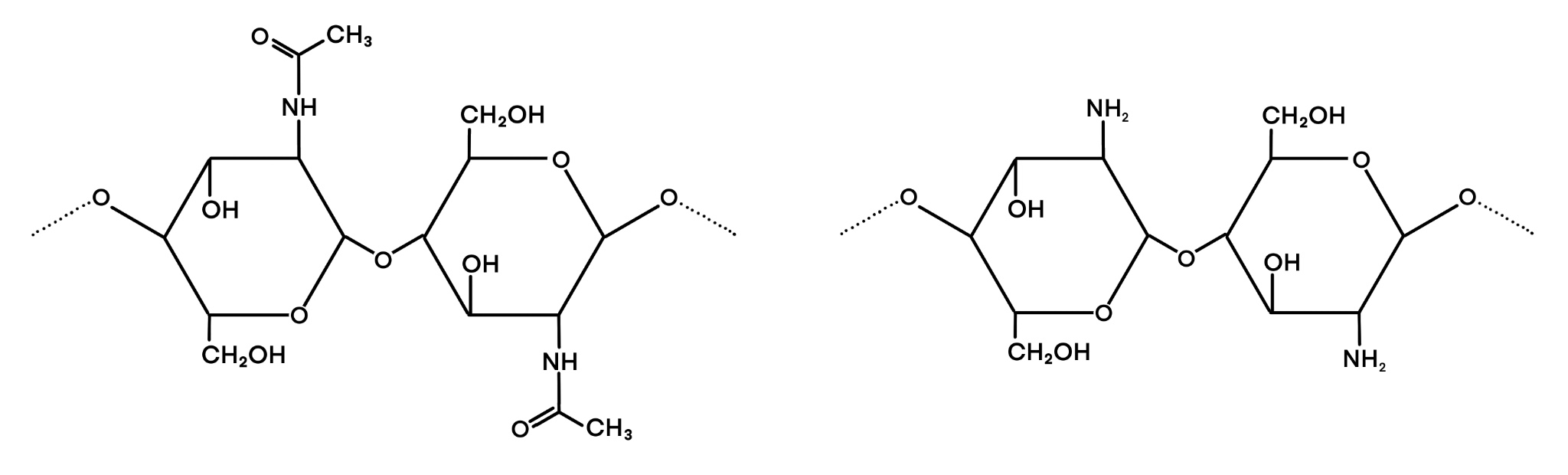
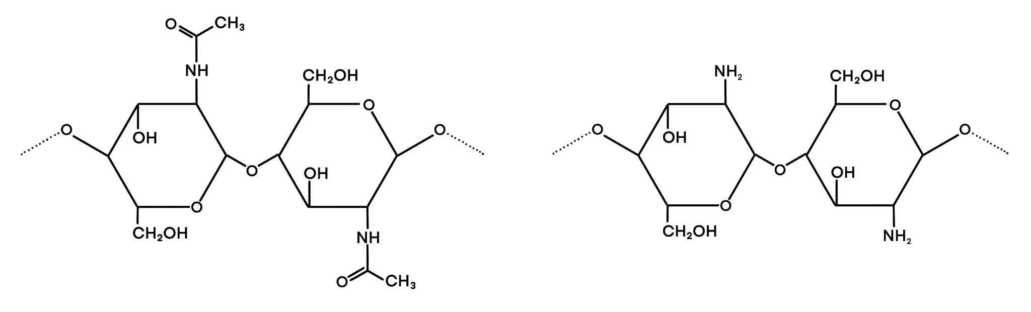
Le strutture biochimiche di chitina e chitosano.

La presenza di questi composti risulta particolarmente importante in quanto chitina e chitosano mostrano un effetto stimolante della microflora del suolo e fungono da molecola segnale che la pianta recepisce attivando i meccanismi di difesa.
Effetto biostimolante della chitina del frass di insetto
Nel corso di questo primo articolo sulla chitina vedremo il primo aspetto, ovvero l’effetto biostimolante della microflora del suolo e di come questa stimolazione possa aiutare nella crescita e nella salute delle nostre colture.
STIMOLAZIONE DELLA MICROFLORA
Numerosi studi affermano che l’aggiunta di chitina nel suolo stimola la microflora, soprattutto favorendo lo sviluppo di batteri che sono capaci di utilizzarla come substrato di crescita. Questi sono i cosiddetti ‘’batteri chitinolitici’’. Essi sono capaci di degradare la chitina, utilizzando parte di essa per il loro sviluppo. Più nel dettaglio, i batteri metabolizzano solo una frazione della chitina, quella polisaccaridica. La restante parte rimane tal quale nel terreno.
Ed è proprio la frazione di chitina non intaccata dai batteri che risulta benefica per la pianta. Infatti, i nutrienti in essa contenuti, restano a disposizione della coltura, che può assorbirli. Anche in questo caso di particolare importanza è la presenza di azoto.
La chitina, stimolando la microflora del terreno, velocizza i processi di mineralizzazione.
SELEZIONE DI DETERMINATI BATTERI
Abbiamo visto come la chitina stimoli la microflora.
Si è osservato una sorta di capacità selettiva nei confronti di specifici batteri benefici come i Bacillus e Rizobatteri. Essi si sviluppano maggiormente rispetto ad altri ceppi.
In ‘’Insect frass and exuviae to promote plantgrowth and health’’. (2022) si cita un effetto stimolante nei confronti di 2 specifici batteri, ovvero Bacillus thuringensis e B. cereus:
– Bacillus thuringensis viene utilizzato nelle pratiche agronomiche, in quanto svolge un’azione tossica nei confronti di numerose larve di vari fitofagi.
– Bacillus cereus è un colonizzatore di radici, antagonista di vari patogeni e parassiti.
Nel prossimo articolo vedremo gli effetti che questa stimolazione ha sulla pianta.






